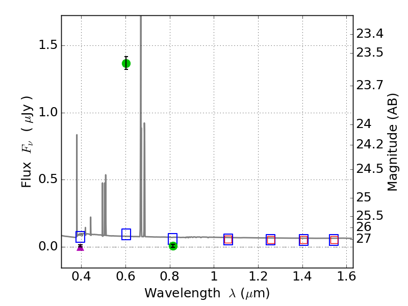
RXS0603+42-N IR detection object #3344

Color images and BPZ results
Catalog: 3344.cat
Black segments are analyzed here.   Roll mouse over color images to view segments.
Best viewed in a wide browser window (1200 pixels or more).   Download SED & P(z) plots to view larger versions.
In P(z) plots: Yellow lines mark the cluster redshift z = 0.228,  

Object #3344   x,y = (4554, 2386)   RA, Dec = (06:03:03.048, 42:15:40.68) = (90.76270, 42.26130)   BPZ = 0.024 [0.012--3.400]   type = 11.00 (SB11_A_0_l)   stellarity = 0.68   chisq2 = 757.00   ODDS = 0.36   z_cluster = 0.228