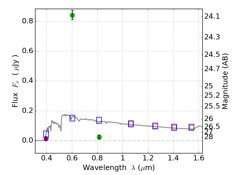
RXS0603+42-N IR detection object #3233

Color images and BPZ results
Catalog: 3233.cat
Black segments are analyzed here.   Roll mouse over color images to view segments.
Best viewed in a wide browser window (1200 pixels or more).   Download SED & P(z) plots to view larger versions.
In P(z) plots: Yellow lines mark the cluster redshift z = 0.228,  

Object #3233   x,y = (4573, 2428)   RA, Dec = (06:03:02.952, 42:15:43.20) = (90.76230, 42.26200)   BPZ = 3.230 [3.078--3.400]   type = 11.00 (SB11_A_0_l)   stellarity = 0.80   chisq2 = 505.90   ODDS = 0.96   z_cluster = 0.228