RXS0603+42-N IR detection object #3121

Color images and BPZ results
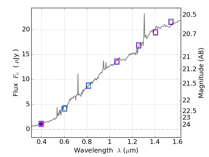
Catalog: 3121.cat
Black segments are analyzed here.   Roll mouse over color images to view segments.
Best viewed in a wide browser window (1200 pixels or more).   Download SED & P(z) plots to view larger versions.
In P(z) plots: Yellow lines mark the cluster redshift z = 0.228,  

Object #3121   x,y = (4775, 2466)   RA, Dec = (06:03:01.848, 42:15:45.72) = (90.75770, 42.26270)   BPZ = 0.440 [0.051--0.865]   type = 6.30 (Sbc_B10 - Scd_B10)   stellarity = 0.67   chisq2 = 990.00   ODDS = 0.21   z_cluster = 0.228