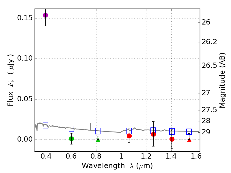
RXS0603+42-N IR detection object #3067

Color images and BPZ results
Catalog: 3067.cat
Black segments are analyzed here.   Roll mouse over color images to view segments.
Best viewed in a wide browser window (1200 pixels or more).   Download SED & P(z) plots to view larger versions.
In P(z) plots: Yellow lines mark the cluster redshift z = 0.228,  

Object #3067   x,y = (2861, 2490)   RA, Dec = (06:03:12.192, 42:15:47.16) = (90.80080, 42.26310)   BPZ = 1.701 [0.706--2.697]   type = 11.00 (SB11_A_0_l)   stellarity = 0.63   chisq2 = 27.58   ODDS = 0.31   z_cluster = 0.228