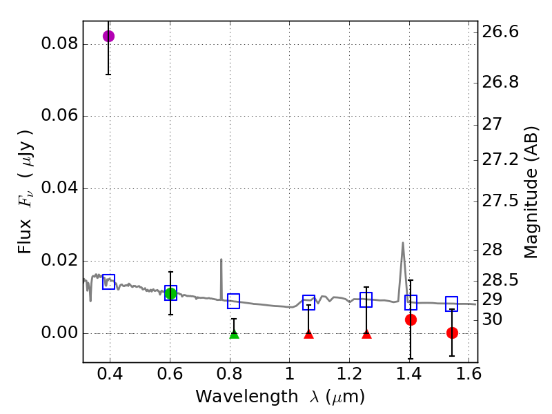
RXS0603+42-N IR detection object #2824

Color images and BPZ results
Catalog: 2824.cat
Black segments are analyzed here.   Roll mouse over color images to view segments.
Best viewed in a wide browser window (1200 pixels or more).   Download SED & P(z) plots to view larger versions.
In P(z) plots: Yellow lines mark the cluster redshift z = 0.228,  

Object #2824   x,y = (2077, 2593)   RA, Dec = (06:03:16.440, 42:15:53.28) = (90.81850, 42.26480)   BPZ = 1.763 [0.482--2.902]   type = 11.00 (SB11_A_0_l)   stellarity = 0.41   chisq2 = 12.01   ODDS = 0.24   z_cluster = 0.228