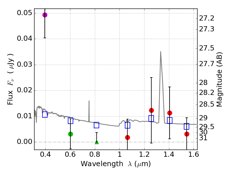
RXS0603+42-N IR detection object #2658

Color images and BPZ results
Catalog: 2658.cat
Black segments are analyzed here.   Roll mouse over color images to view segments.
Best viewed in a wide browser window (1200 pixels or more).   Download SED & P(z) plots to view larger versions.
In P(z) plots: Yellow lines mark the cluster redshift z = 0.228,  

Object #2658   x,y = (2927, 2661)   RA, Dec = (06:03:11.832, 42:15:57.24) = (90.79930, 42.26590)   BPZ = 1.693 [0.416--6.169]   type = 11.00 (SB11_A_0_l)   stellarity = 0.36   chisq2 = 5.71   ODDS = 0.15   z_cluster = 0.228