RXS0603+42-N IR detection object #2629

Color images and BPZ results
Catalog: 2629.cat
Black segments are analyzed here.   Roll mouse over color images to view segments.
Best viewed in a wide browser window (1200 pixels or more).   Download SED & P(z) plots to view larger versions.
In P(z) plots: Yellow lines mark the cluster redshift z = 0.228,  

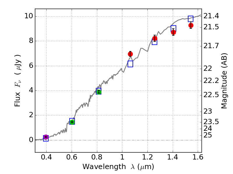
Object #2629   x,y = (3845, 2660)   RA, Dec = (06:03:06.888, 42:15:57.24) = (90.77870, 42.26590)   BPZ = 0.412 [0.331--0.487]   type = 2.20 (Ell6_A_0 - Ell5_A_0)   stellarity = 0.97   chisq2 = 0.56   ODDS = 0.77   z_cluster = 0.228