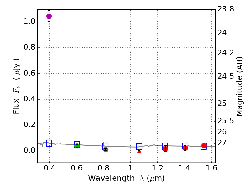
RXS0603+42-N IR detection object #2595

Color images and BPZ results
Catalog: 2595.cat
Black segments are analyzed here.   Roll mouse over color images to view segments.
Best viewed in a wide browser window (1200 pixels or more).   Download SED & P(z) plots to view larger versions.
In P(z) plots: Yellow lines mark the cluster redshift z = 0.228,  

Object #2595   x,y = (1827, 2735)   RA, Dec = (06:03:17.784, 42:16:01.92) = (90.82410, 42.26720)   BPZ = 1.857 [1.435--2.210]   type = 11.00 (SB11_A_0_l)   stellarity = 0.65   chisq2 = 134.80   ODDS = 0.46   z_cluster = 0.228