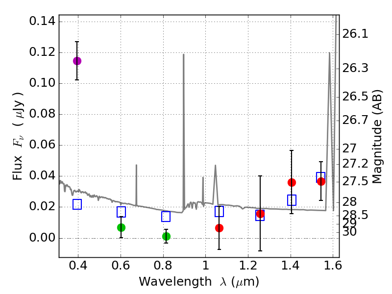
RXS0603+42-N IR detection object #2555

Color images and BPZ results
Catalog: 2555.cat
Black segments are analyzed here.   Roll mouse over color images to view segments.
Best viewed in a wide browser window (1200 pixels or more).   Download SED & P(z) plots to view larger versions.
In P(z) plots: Yellow lines mark the cluster redshift z = 0.228,  

Object #2555   x,y = (3893, 2699)   RA, Dec = (06:03:06.624, 42:15:59.76) = (90.77760, 42.26660)   BPZ = 1.413 [1.149--2.259]   type = 11.00 (SB11_A_0_l)   stellarity = 0.63   chisq2 = 15.66   ODDS = 0.27   z_cluster = 0.228