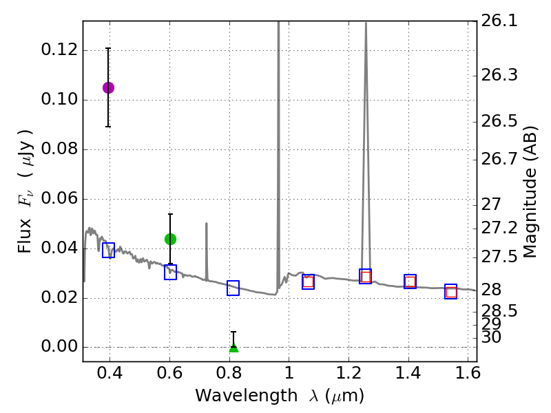
RXS0603+42-N IR detection object #2495

Color images and BPZ results
Catalog: 2495.cat
Black segments are analyzed here.   Roll mouse over color images to view segments.
Best viewed in a wide browser window (1200 pixels or more).   Download SED & P(z) plots to view larger versions.
In P(z) plots: Yellow lines mark the cluster redshift z = 0.228,  

Object #2495   x,y = (3939, 2721)   RA, Dec = (06:03:06.360, 42:16:00.84) = (90.77650, 42.26690)   BPZ = 1.595 [1.216--2.312]   type = 11.00 (SB11_A_0_l)   stellarity = 0.36   chisq2 = 31.02   ODDS = 0.30   z_cluster = 0.228