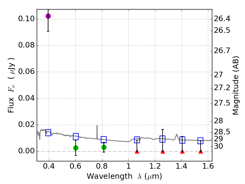
RXS0603+42-N IR detection object #2261

Color images and BPZ results
Catalog: 2261.cat
Black segments are analyzed here.   Roll mouse over color images to view segments.
Best viewed in a wide browser window (1200 pixels or more).   Download SED & P(z) plots to view larger versions.
In P(z) plots: Yellow lines mark the cluster redshift z = 0.228,  

Object #2261   x,y = (1888, 2796)   RA, Dec = (06:03:17.448, 42:16:05.52) = (90.82270, 42.26820)   BPZ = 1.732 [0.497--3.191]   type = 11.00 (SB11_A_0_l)   stellarity = 0.73   chisq2 = 15.81   ODDS = 0.22   z_cluster = 0.228