RXS0603+42-N IR detection object #2106

Color images and BPZ results
Catalog: 2106.cat
Black segments are analyzed here.   Roll mouse over color images to view segments.
Best viewed in a wide browser window (1200 pixels or more).   Download SED & P(z) plots to view larger versions.
In P(z) plots: Yellow lines mark the cluster redshift z = 0.228,  

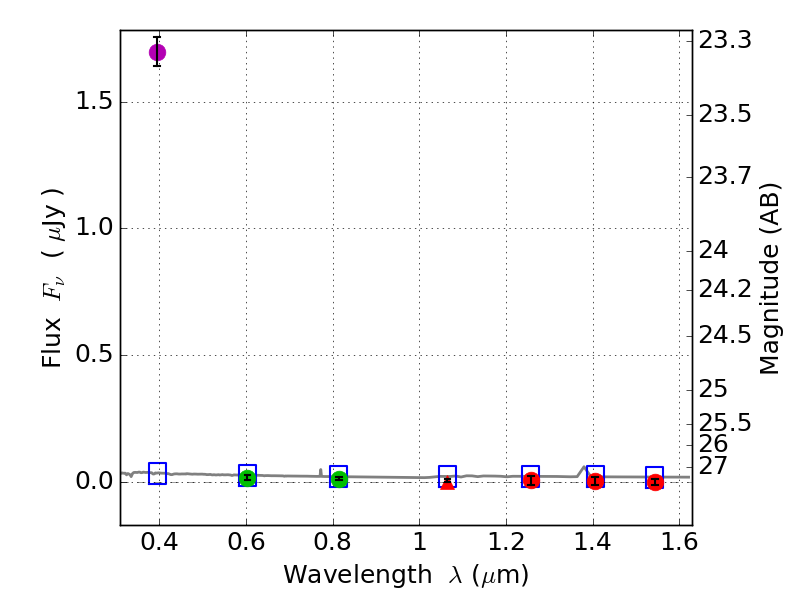
Object #2106   x,y = (1866, 2853)   RA, Dec = (06:03:17.568, 42:16:08.76) = (90.82320, 42.26910)   BPZ = 1.763 [0.994--2.369]   type = 11.00 (SB11_A_0_l)   stellarity = 0.65   chisq2 = 215.90   ODDS = 0.39   z_cluster = 0.228