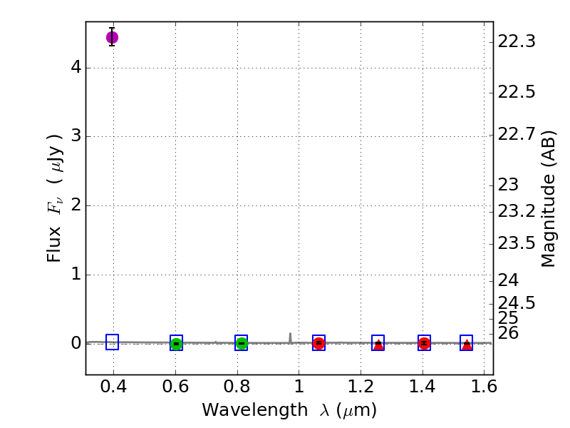
RXS0603+42-N IR detection object #2104

Color images and BPZ results
Catalog: 2104.cat
Black segments are analyzed here.   Roll mouse over color images to view segments.
Best viewed in a wide browser window (1200 pixels or more).   Download SED & P(z) plots to view larger versions.
In P(z) plots: Yellow lines mark the cluster redshift z = 0.228,  

Object #2104   x,y = (1862, 2848)   RA, Dec = (06:03:17.592, 42:16:08.76) = (90.82330, 42.26910)   BPZ = 1.612 [0.326--5.259]   type = 11.00 (SB11_A_0_l)   stellarity = 0.93   chisq2 = 277.60   ODDS = 0.13   z_cluster = 0.228