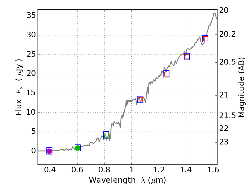
RXS0603+42-N IR detection object #2095

Color images and BPZ results
Catalog: 2095.cat
Black segments are analyzed here.   Roll mouse over color images to view segments.
Best viewed in a wide browser window (1200 pixels or more).   Download SED & P(z) plots to view larger versions.
In P(z) plots: Yellow lines mark the cluster redshift z = 0.228,  

Object #2095   x,y = (4443, 2861)   RA, Dec = (06:03:03.648, 42:16:09.48) = (90.76520, 42.26930)   BPZ = 1.127 [0.533--4.310]   type = 5.00 (ES0_B10)   stellarity = 0.71   chisq2 = 0.00   ODDS = 0.19   z_cluster = 0.228