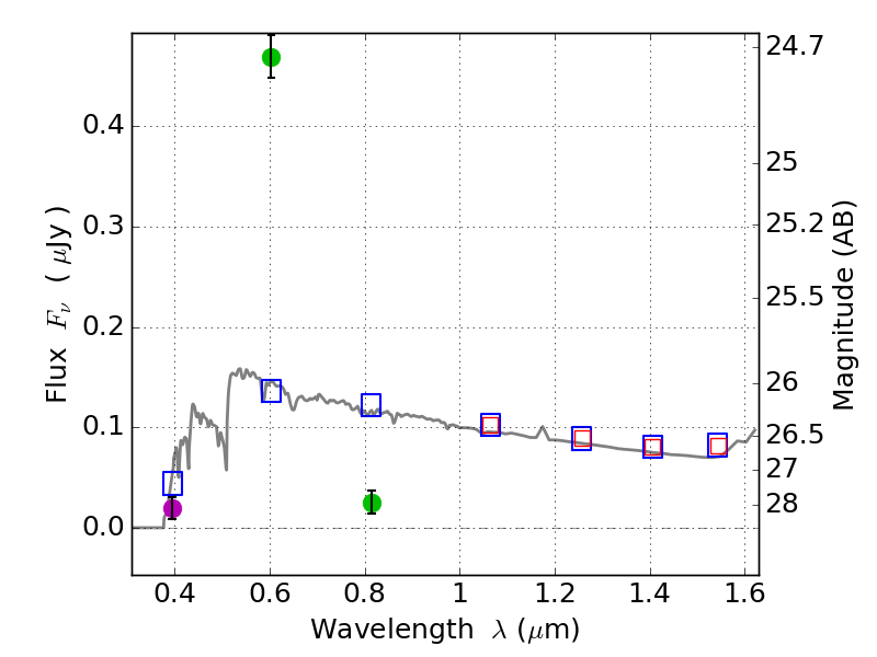
RXS0603+42-N IR detection object #1988

Color images and BPZ results
Catalog: 1988.cat
Black segments are analyzed here.   Roll mouse over color images to view segments.
Best viewed in a wide browser window (1200 pixels or more).   Download SED & P(z) plots to view larger versions.
In P(z) plots: Yellow lines mark the cluster redshift z = 0.228,  

Object #1988   x,y = (4346, 2898)   RA, Dec = (06:03:04.176, 42:16:11.64) = (90.76740, 42.26990)   BPZ = 3.192 [3.031--3.351]   type = 11.00 (SB11_A_0_l)   stellarity = 0.66   chisq2 = 259.90   ODDS = 0.96   z_cluster = 0.228