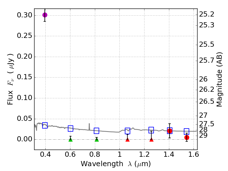
RXS0603+42-N IR detection object #1978

Color images and BPZ results
Catalog: 1978.cat
Black segments are analyzed here.   Roll mouse over color images to view segments.
Best viewed in a wide browser window (1200 pixels or more).   Download SED & P(z) plots to view larger versions.
In P(z) plots: Yellow lines mark the cluster redshift z = 0.228,  

Object #1978   x,y = (2931, 2901)   RA, Dec = (06:03:11.808, 42:16:11.64) = (90.79920, 42.26990)   BPZ = 1.698 [1.394--2.076]   type = 11.00 (SB11_A_0_l)   stellarity = 0.74   chisq2 = 75.70   ODDS = 0.57   z_cluster = 0.228