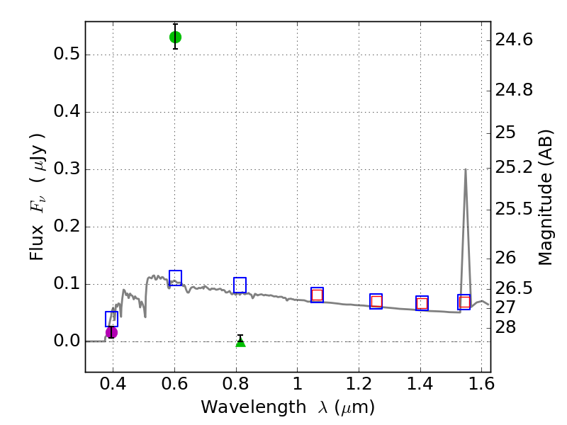
RXS0603+42-N IR detection object #1934

Color images and BPZ results
Catalog: 1934.cat
Black segments are analyzed here.   Roll mouse over color images to view segments.
Best viewed in a wide browser window (1200 pixels or more).   Download SED & P(z) plots to view larger versions.
In P(z) plots: Yellow lines mark the cluster redshift z = 0.228,  

Object #1934   x,y = (4330, 2915)   RA, Dec = (06:03:04.248, 42:16:12.72) = (90.76770, 42.27020)   BPZ = 3.164 [0.020--3.321]   type = 11.00 (SB11_A_0_l)   stellarity = 0.79   chisq2 = 385.20   ODDS = 0.84   z_cluster = 0.228