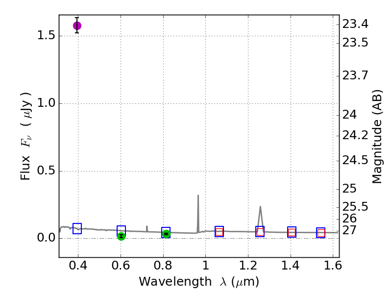
RXS0603+42-N IR detection object #1701

Color images and BPZ results
Catalog: 1701.cat
Black segments are analyzed here.   Roll mouse over color images to view segments.
Best viewed in a wide browser window (1200 pixels or more).   Download SED & P(z) plots to view larger versions.
In P(z) plots: Yellow lines mark the cluster redshift z = 0.228,  

Object #1701   x,y = (1918, 3006)   RA, Dec = (06:03:17.304, 42:16:18.12) = (90.82210, 42.27170)   BPZ = 1.592 [1.123--2.008]   type = 11.00 (SB11_A_0_l)   stellarity = 0.99   chisq2 = 767.60   ODDS = 0.36   z_cluster = 0.228