RXS0603+42-N IR detection object #1556

Color images and BPZ results
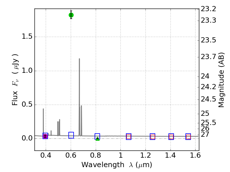
Catalog: 1556.cat
Black segments are analyzed here.   Roll mouse over color images to view segments.
Best viewed in a wide browser window (1200 pixels or more).   Download SED & P(z) plots to view larger versions.
In P(z) plots: Yellow lines mark the cluster redshift z = 0.228,  

Object #1556   x,y = (3970, 3060)   RA, Dec = (06:03:06.216, 42:16:21.36) = (90.77590, 42.27260)   BPZ = 0.024 [0.011--2.548]   type = 11.00 (SB11_A_0_l)   stellarity = 0.93   chisq2 = 933.10   ODDS = 0.60   z_cluster = 0.228