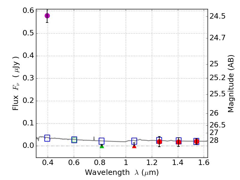
RXS0603+42-N IR detection object #1078

Color images and BPZ results
Catalog: 1078.cat
Black segments are analyzed here.   Roll mouse over color images to view segments.
Best viewed in a wide browser window (1200 pixels or more).   Download SED & P(z) plots to view larger versions.
In P(z) plots: Yellow lines mark the cluster redshift z = 0.228,  

Object #1078   x,y = (3689, 3286)   RA, Dec = (06:03:07.728, 42:16:34.68) = (90.78220, 42.27630)   BPZ = 1.697 [1.195--2.280]   type = 11.00 (SB11_A_0_l)   stellarity = 0.99   chisq2 = 101.70   ODDS = 0.36   z_cluster = 0.228