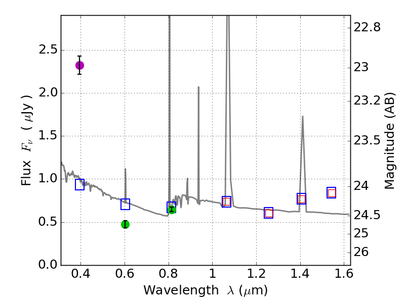
RXS0603+42-N ACS+IR detection object #808

Color images and BPZ results
Catalog: 808.cat
Black segments are analyzed here.   Roll mouse over color images to view segments.
Best viewed in a wide browser window (1200 pixels or more).   Download SED & P(z) plots to view larger versions.
In P(z) plots: Yellow lines mark the cluster redshift z = 0.228,  

Object #808   x,y = (2304, 3731)   RA, Dec = (06:03:15.216, 42:17:01.68) = (90.81340, 42.28380)   BPZ = 1.158 [1.039--1.673]   type = 11.00 (SB11_A_0_l)   stellarity = 1.00   chisq2 = 136.80   ODDS = 0.54   z_cluster = 0.228