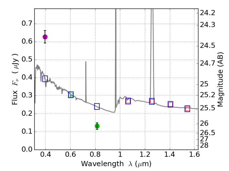
RXS0603+42-N ACS+IR detection object #4752

Color images and BPZ results
Catalog: 4752.cat
Black segments are analyzed here.   Roll mouse over color images to view segments.
Best viewed in a wide browser window (1200 pixels or more).   Download SED & P(z) plots to view larger versions.
In P(z) plots: Yellow lines mark the cluster redshift z = 0.228,  

Object #4752   x,y = (4626, 2339)   RA, Dec = (06:03:02.664, 42:15:38.16) = (90.76110, 42.26060)   BPZ = 1.593 [1.447--1.849]   type = 11.00 (SB11_A_0_l)   stellarity = 0.99   chisq2 = 40.83   ODDS = 0.70   z_cluster = 0.228