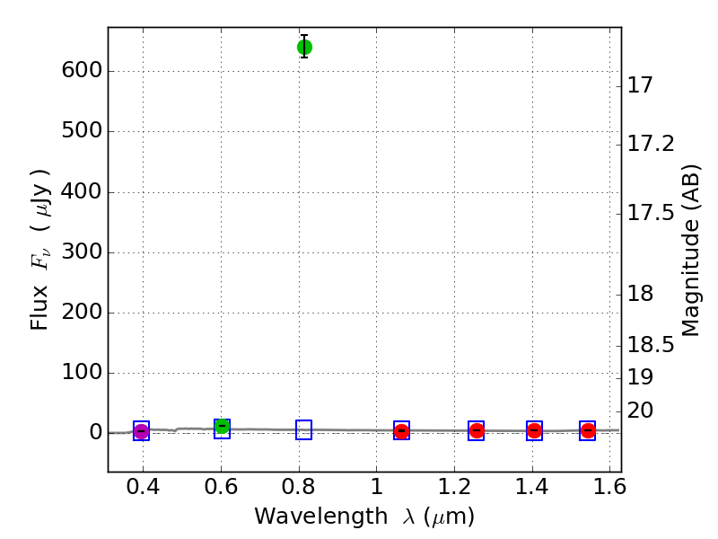
RXS0603+42-N ACS+IR detection object #2442

Color images and BPZ results
Catalog: 2442.cat
Black segments are analyzed here.   Roll mouse over color images to view segments.
Best viewed in a wide browser window (1200 pixels or more).   Download SED & P(z) plots to view larger versions.
In P(z) plots: Yellow lines mark the cluster redshift z = 0.228,  

Object #2442   x,y = (2916, 3076)   RA, Dec = (06:03:11.904, 42:16:22.08) = (90.79960, 42.27280)   BPZ = 2.979 [2.938--3.015]   type = 11.00 (SB11_A_0_l)   stellarity = 1.00   chisq2 = 307.70   ODDS = 1.00   z_cluster = 0.228