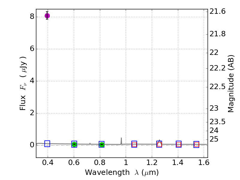
RXS0603+42-N ACS+IR detection object #2423

Color images and BPZ results
Catalog: 2423.cat
Black segments are analyzed here.   Roll mouse over color images to view segments.
Best viewed in a wide browser window (1200 pixels or more).   Download SED & P(z) plots to view larger versions.
In P(z) plots: Yellow lines mark the cluster redshift z = 0.228,  

Object #2423   x,y = (2019, 3114)   RA, Dec = (06:03:16.752, 42:16:24.60) = (90.81980, 42.27350)   BPZ = 1.594 [1.198--2.246]   type = 11.00 (SB11_A_0_l)   stellarity = 0.90   chisq2 = 1121.00   ODDS = 0.31   z_cluster = 0.228