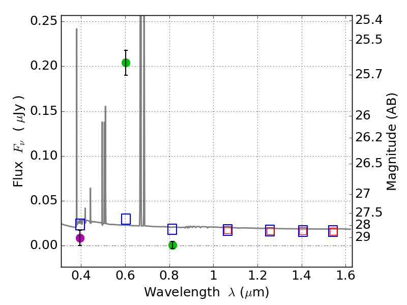
RXS0603+42-N IR detection object #992

Color images and BPZ results
Catalog: 992.cat
Black segments are analyzed here.   Roll mouse over color images to view segments.
Best viewed in a wide browser window (1200 pixels or more).   Download SED & P(z) plots to view larger versions.
In P(z) plots: Yellow lines mark the cluster redshift z = 0.228,  

Object #992   x,y = (3337, 3326)   RA, Dec = (06:03:09.624, 42:16:37.20) = (90.79010, 42.27700)   BPZ = 0.025 [0.016--3.226]   type = 11.00 (SB11_A_0_l)   stellarity = 0.61   chisq2 = 179.20   ODDS = 0.17   z_cluster = 0.228