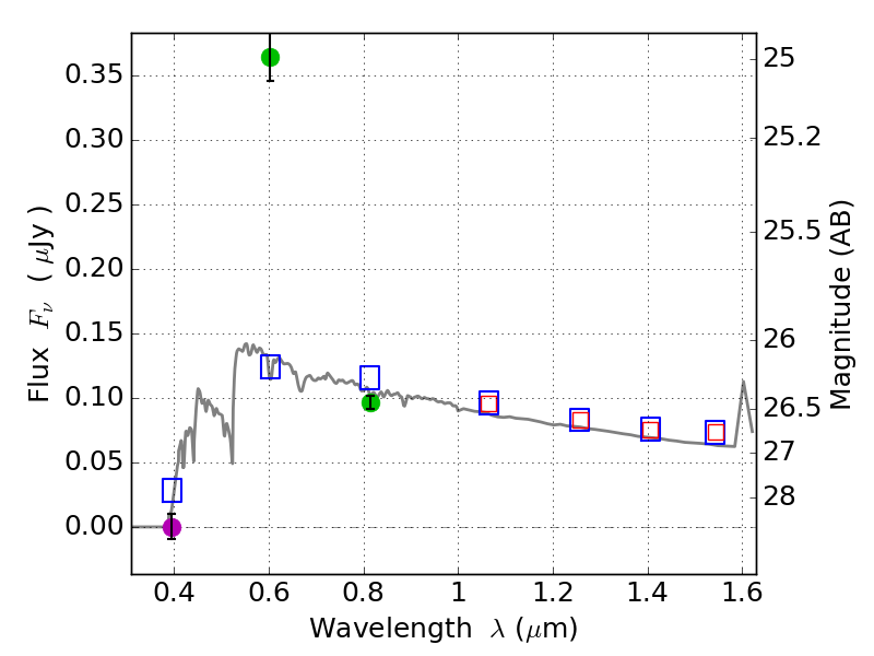
RXS0603+42-N IR detection object #987

Color images and BPZ results
Catalog: 987.cat
Black segments are analyzed here.   Roll mouse over color images to view segments.
Best viewed in a wide browser window (1200 pixels or more).   Download SED & P(z) plots to view larger versions.
In P(z) plots: Yellow lines mark the cluster redshift z = 0.228,  

Object #987   x,y = (3361, 3330)   RA, Dec = (06:03:09.504, 42:16:37.56) = (90.78960, 42.27710)   BPZ = 3.313 [3.198--3.548]   type = 11.00 (SB11_A_0_l)   stellarity = 0.54   chisq2 = 145.60   ODDS = 0.91   z_cluster = 0.228