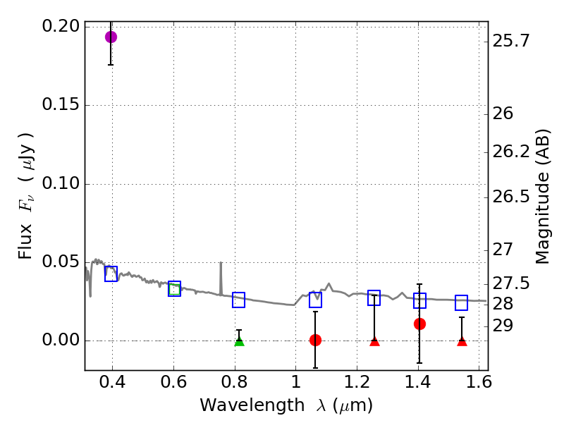
RXS0603+42-N IR detection object #982

Color images and BPZ results
Catalog: 982.cat
Black segments are analyzed here.   Roll mouse over color images to view segments.
Best viewed in a wide browser window (1200 pixels or more).   Download SED & P(z) plots to view larger versions.
In P(z) plots: Yellow lines mark the cluster redshift z = 0.228,  

Object #982   x,y = (3614, 3280)   RA, Dec = (06:03:08.136, 42:16:34.68) = (90.78390, 42.27630)   BPZ = 1.700 [1.282--2.257]   type = 11.00 (SB11_A_0_l)   stellarity = 0.41   chisq2 = 28.51   ODDS = 0.46   z_cluster = 0.228