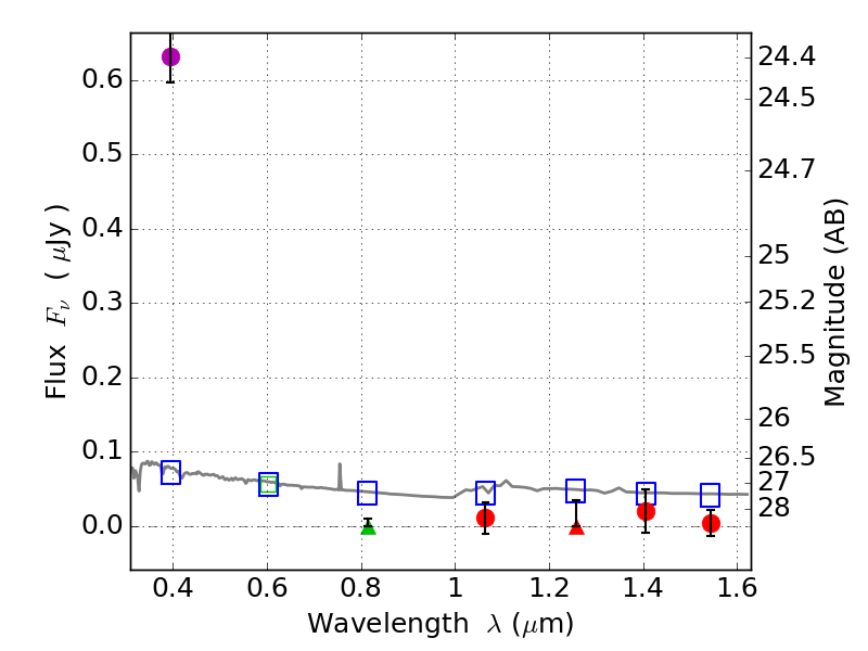
RXS0603+42-N IR detection object #978

Color images and BPZ results
Catalog: 978.cat
Black segments are analyzed here.   Roll mouse over color images to view segments.
Best viewed in a wide browser window (1200 pixels or more).   Download SED & P(z) plots to view larger versions.
In P(z) plots: Yellow lines mark the cluster redshift z = 0.228,  

Object #978   x,y = (3579, 3313)   RA, Dec = (06:03:08.328, 42:16:36.48) = (90.78470, 42.27680)   BPZ = 1.700 [1.454--2.106]   type = 11.00 (SB11_A_0_l)   stellarity = 0.72   chisq2 = 90.21   ODDS = 0.59   z_cluster = 0.228