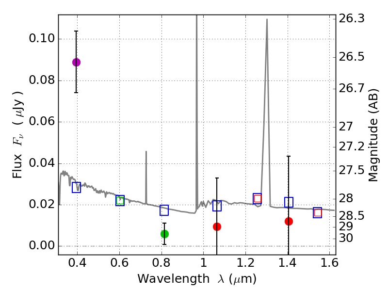
RXS0603+42-N IR detection object #976

Color images and BPZ results
Catalog: 976.cat
Black segments are analyzed here.   Roll mouse over color images to view segments.
Best viewed in a wide browser window (1200 pixels or more).   Download SED & P(z) plots to view larger versions.
In P(z) plots: Yellow lines mark the cluster redshift z = 0.228,  

Object #976   x,y = (3564, 3329)   RA, Dec = (06:03:08.400, 42:16:37.56) = (90.78500, 42.27710)   BPZ = 1.598 [0.707--2.610]   type = 11.00 (SB11_A_0_l)   stellarity = 0.46   chisq2 = 21.03   ODDS = 0.21   z_cluster = 0.228