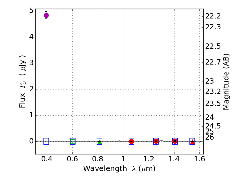
RXS0603+42-N IR detection object #972

Color images and BPZ results
Catalog: 972.cat
Black segments are analyzed here.   Roll mouse over color images to view segments.
Best viewed in a wide browser window (1200 pixels or more).   Download SED & P(z) plots to view larger versions.
In P(z) plots: Yellow lines mark the cluster redshift z = 0.228,  

Object #972   x,y = (3601, 3324)   RA, Dec = (06:03:08.208, 42:16:37.20) = (90.78420, 42.27700)   BPZ = 1.598 [0.325--7.602]   type = 11.00 (SB11_A_0_l)   stellarity = 0.91   chisq2 = 368.70   ODDS = 0.08   z_cluster = 0.228