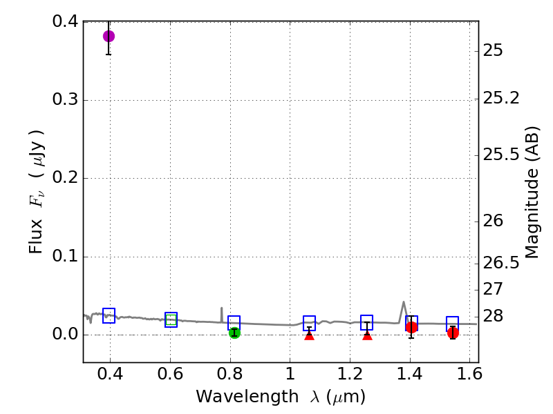
RXS0603+42-N IR detection object #944

Color images and BPZ results
Catalog: 944.cat
Black segments are analyzed here.   Roll mouse over color images to view segments.
Best viewed in a wide browser window (1200 pixels or more).   Download SED & P(z) plots to view larger versions.
In P(z) plots: Yellow lines mark the cluster redshift z = 0.228,  

Object #944   x,y = (3676, 3296)   RA, Dec = (06:03:07.800, 42:16:35.40) = (90.78250, 42.27650)   BPZ = 1.763 [0.864--2.507]   type = 11.00 (SB11_A_0_l)   stellarity = 0.73   chisq2 = 74.26   ODDS = 0.33   z_cluster = 0.228