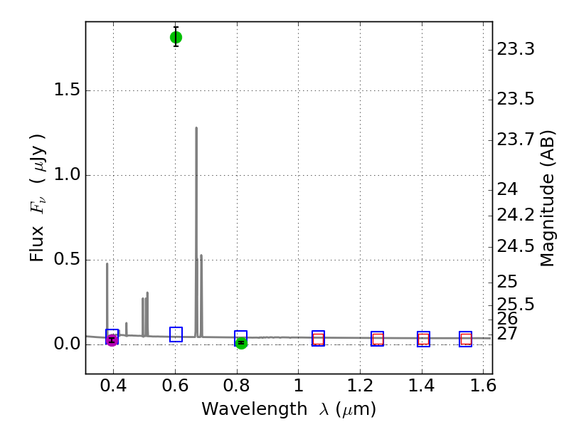
RXS0603+42-N IR detection object #939

Color images and BPZ results
Catalog: 939.cat
Black segments are analyzed here.   Roll mouse over color images to view segments.
Best viewed in a wide browser window (1200 pixels or more).   Download SED & P(z) plots to view larger versions.
In P(z) plots: Yellow lines mark the cluster redshift z = 0.228,  

Object #939   x,y = (3323, 3343)   RA, Dec = (06:03:09.696, 42:16:38.28) = (90.79040, 42.27730)   BPZ = 0.024 [0.012--3.019]   type = 11.00 (SB11_A_0_l)   stellarity = 0.69   chisq2 = 929.50   ODDS = 0.36   z_cluster = 0.228