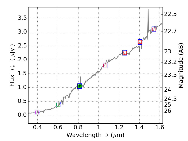
RXS0603+42-N IR detection object #937

Color images and BPZ results
Catalog: 937.cat
Black segments are analyzed here.   Roll mouse over color images to view segments.
Best viewed in a wide browser window (1200 pixels or more).   Download SED & P(z) plots to view larger versions.
In P(z) plots: Yellow lines mark the cluster redshift z = 0.228,  

Object #937   x,y = (3507, 3398)   RA, Dec = (06:03:08.712, 42:16:41.52) = (90.78630, 42.27820)   BPZ = 0.637 [0.151--3.262]   type = 6.10 (Sbc_B10 - Scd_B10)   stellarity = 0.02   chisq2 = 990.00   ODDS = 0.11   z_cluster = 0.228