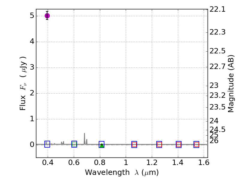
RXS0603+42-N IR detection object #933

Color images and BPZ results
Catalog: 933.cat
Black segments are analyzed here.   Roll mouse over color images to view segments.
Best viewed in a wide browser window (1200 pixels or more).   Download SED & P(z) plots to view larger versions.
In P(z) plots: Yellow lines mark the cluster redshift z = 0.228,  

Object #933   x,y = (3568, 3344)   RA, Dec = (06:03:08.376, 42:16:38.28) = (90.78490, 42.27730)   BPZ = 0.038 [0.028--0.855]   type = 11.00 (SB11_A_0_l)   stellarity = 0.94   chisq2 = 1088.00   ODDS = 0.10   z_cluster = 0.228