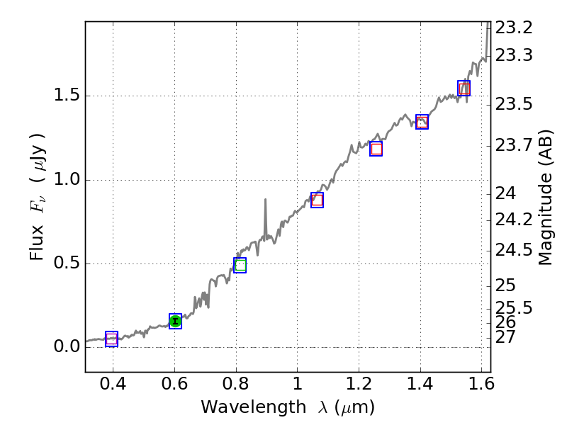
RXS0603+42-N IR detection object #9243

Color images and BPZ results
Catalog: 9243.cat
Black segments are analyzed here.   Roll mouse over color images to view segments.
Best viewed in a wide browser window (1200 pixels or more).   Download SED & P(z) plots to view larger versions.
In P(z) plots: Yellow lines mark the cluster redshift z = 0.228,  

Object #9243   x,y = (3377, 298)   RA, Dec = (06:03:09.408, 42:13:35.40) = (90.78920, 42.22650)   BPZ = 0.789 [0.203--5.055]   type = 6.10 (Sbc_B10 - Scd_B10)   stellarity = 0.65   chisq2 = 990.00   ODDS = 0.08   z_cluster = 0.228