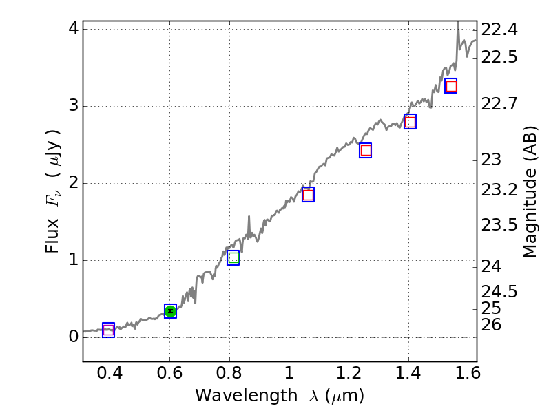
RXS0603+42-N IR detection object #9236

Color images and BPZ results
Catalog: 9236.cat
Black segments are analyzed here.   Roll mouse over color images to view segments.
Best viewed in a wide browser window (1200 pixels or more).   Download SED & P(z) plots to view larger versions.
In P(z) plots: Yellow lines mark the cluster redshift z = 0.228,  

Object #9236   x,y = (3360, 314)   RA, Dec = (06:03:09.504, 42:13:36.48) = (90.78960, 42.22680)   BPZ = 0.730 [0.183--4.375]   type = 6.00 (Sbc_B10)   stellarity = 0.74   chisq2 = 990.00   ODDS = 0.09   z_cluster = 0.228