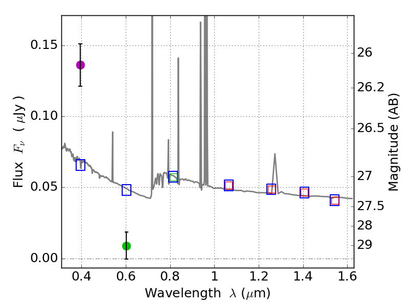
RXS0603+42-N IR detection object #9067

Color images and BPZ results
Catalog: 9067.cat
Black segments are analyzed here.   Roll mouse over color images to view segments.
Best viewed in a wide browser window (1200 pixels or more).   Download SED & P(z) plots to view larger versions.
In P(z) plots: Yellow lines mark the cluster redshift z = 0.228,  

Object #9067   x,y = (3511, 422)   RA, Dec = (06:03:08.688, 42:13:42.96) = (90.78620, 42.22860)   BPZ = 0.931 [0.793--2.059]   type = 11.00 (SB11_A_0_l)   stellarity = 0.68   chisq2 = 34.66   ODDS = 0.21   z_cluster = 0.228