RXS0603+42-N IR detection object #9020

Color images and BPZ results
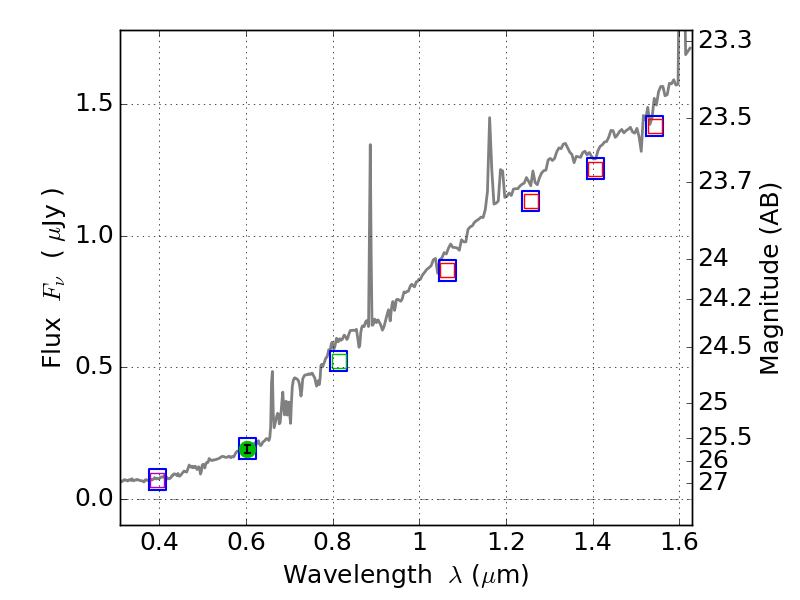
Catalog: 9020.cat
Black segments are analyzed here.   Roll mouse over color images to view segments.
Best viewed in a wide browser window (1200 pixels or more).   Download SED & P(z) plots to view larger versions.
In P(z) plots: Yellow lines mark the cluster redshift z = 0.228,  

Object #9020   x,y = (3005, 456)   RA, Dec = (06:03:11.424, 42:13:45.12) = (90.79760, 42.22920)   BPZ = 0.774 [0.198--4.886]   type = 6.50 (Scd_B10 - Sbc_B10)   stellarity = 0.65   chisq2 = 990.00   ODDS = 0.08   z_cluster = 0.228