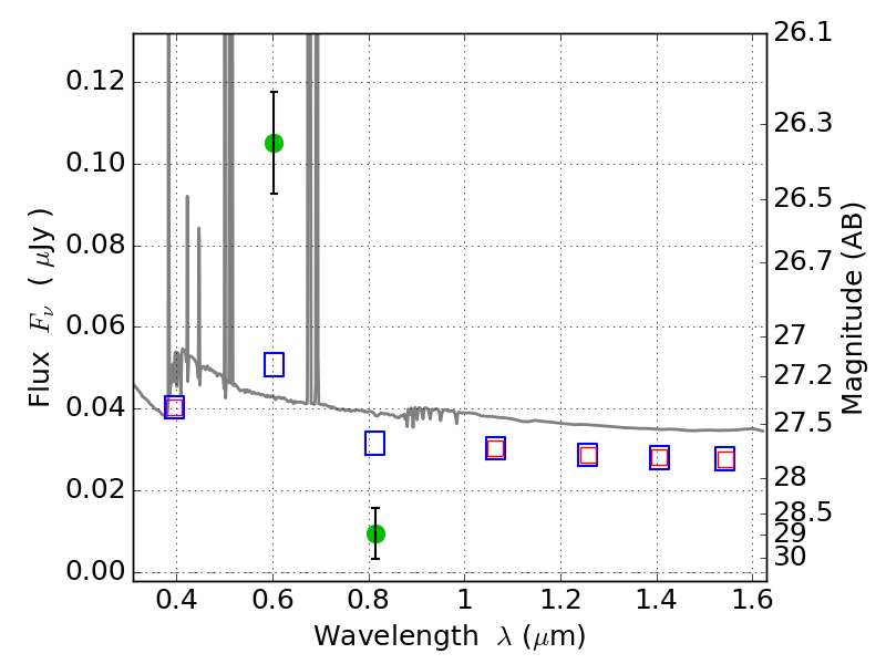
RXS0603+42-N IR detection object #896

Color images and BPZ results
Catalog: 896.cat
Black segments are analyzed here.   Roll mouse over color images to view segments.
Best viewed in a wide browser window (1200 pixels or more).   Download SED & P(z) plots to view larger versions.
In P(z) plots: Yellow lines mark the cluster redshift z = 0.228,  

Object #896   x,y = (1995, 3372)   RA, Dec = (06:03:16.872, 42:16:40.08) = (90.82030, 42.27780)   BPZ = 0.027 [0.023--3.134]   type = 11.00 (SB11_A_0_l)   stellarity = 0.73   chisq2 = 27.52   ODDS = 0.08   z_cluster = 0.228