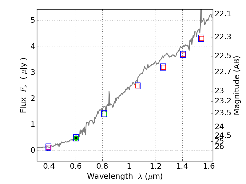
RXS0603+42-N IR detection object #8915

Color images and BPZ results
Catalog: 8915.cat
Black segments are analyzed here.   Roll mouse over color images to view segments.
Best viewed in a wide browser window (1200 pixels or more).   Download SED & P(z) plots to view larger versions.
In P(z) plots: Yellow lines mark the cluster redshift z = 0.228,  

Object #8915   x,y = (2886, 503)   RA, Dec = (06:03:12.072, 42:13:48.00) = (90.80030, 42.23000)   BPZ = 0.701 [0.173--4.033]   type = 6.10 (Sbc_B10 - Scd_B10)   stellarity = 0.99   chisq2 = 990.00   ODDS = 0.09   z_cluster = 0.228