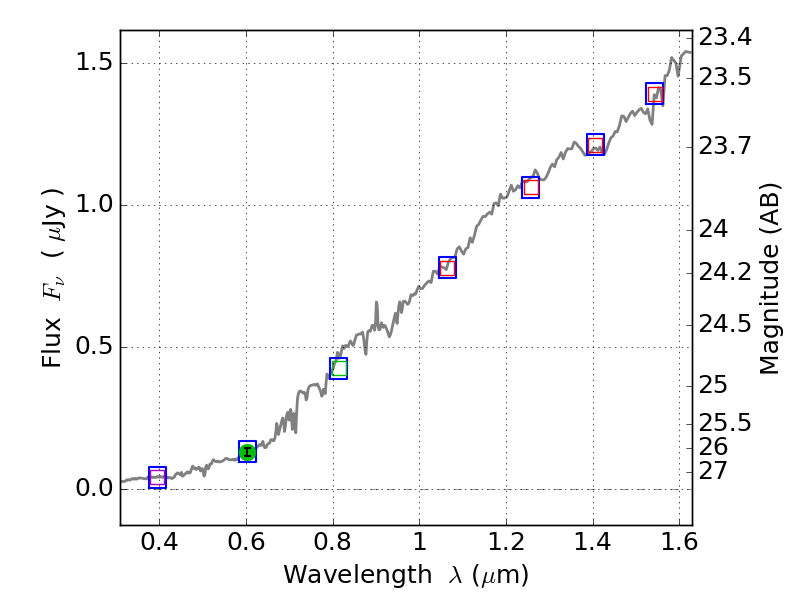
RXS0603+42-N IR detection object #8910

Color images and BPZ results
Catalog: 8910.cat
Black segments are analyzed here.   Roll mouse over color images to view segments.
Best viewed in a wide browser window (1200 pixels or more).   Download SED & P(z) plots to view larger versions.
In P(z) plots: Yellow lines mark the cluster redshift z = 0.228,  

Object #8910   x,y = (2968, 508)   RA, Dec = (06:03:11.616, 42:13:48.00) = (90.79840, 42.23000)   BPZ = 0.804 [0.208--5.223]   type = 6.00 (Sbc_B10)   stellarity = 0.75   chisq2 = 990.00   ODDS = 0.08   z_cluster = 0.228