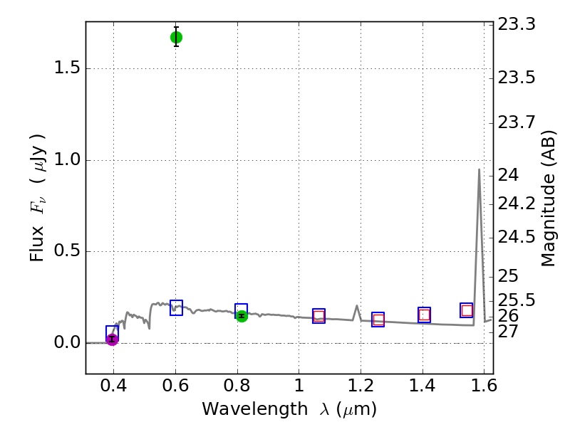
RXS0603+42-N IR detection object #888

Color images and BPZ results
Catalog: 888.cat
Black segments are analyzed here.   Roll mouse over color images to view segments.
Best viewed in a wide browser window (1200 pixels or more).   Download SED & P(z) plots to view larger versions.
In P(z) plots: Yellow lines mark the cluster redshift z = 0.228,  

Object #888   x,y = (3262, 3376)   RA, Dec = (06:03:10.032, 42:16:40.44) = (90.79180, 42.27790)   BPZ = 3.251 [3.133--3.424]   type = 11.00 (SB11_A_0_l)   stellarity = 0.65   chisq2 = 726.90   ODDS = 0.97   z_cluster = 0.228