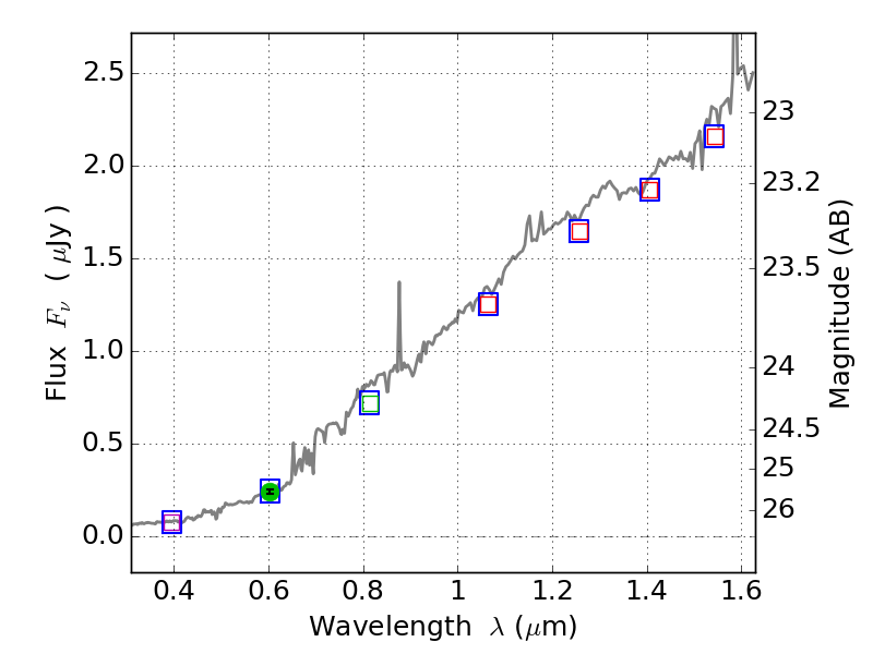
RXS0603+42-N IR detection object #8862

Color images and BPZ results
Catalog: 8862.cat
Black segments are analyzed here.   Roll mouse over color images to view segments.
Best viewed in a wide browser window (1200 pixels or more).   Download SED & P(z) plots to view larger versions.
In P(z) plots: Yellow lines mark the cluster redshift z = 0.228,  

Object #8862   x,y = (2810, 534)   RA, Dec = (06:03:12.480, 42:13:49.80) = (90.80200, 42.23050)   BPZ = 0.752 [0.190--4.631]   type = 6.20 (Sbc_B10 - Scd_B10)   stellarity = 0.99   chisq2 = 990.00   ODDS = 0.08   z_cluster = 0.228