RXS0603+42-N IR detection object #8741

Color images and BPZ results
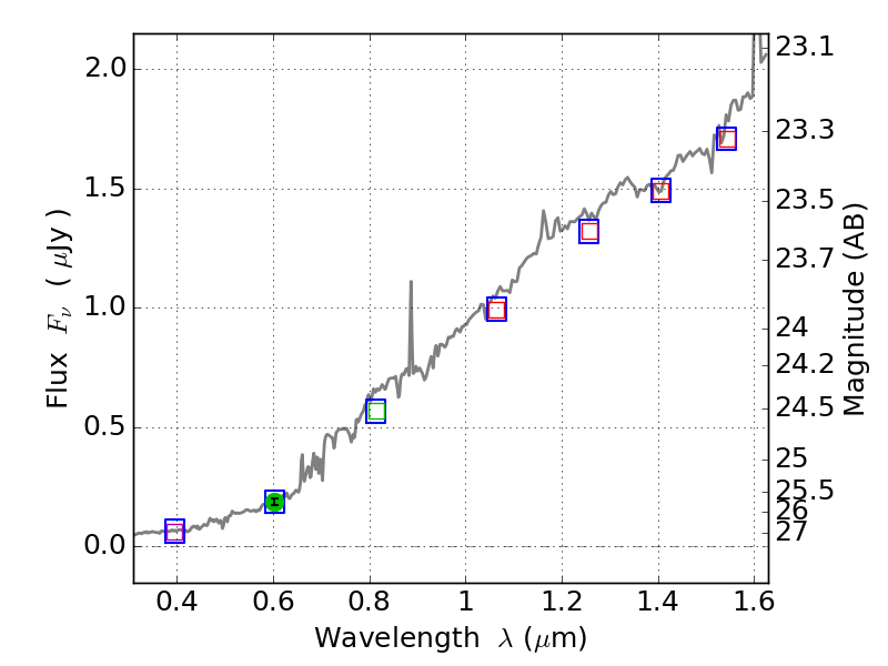
Catalog: 8741.cat
Black segments are analyzed here.   Roll mouse over color images to view segments.
Best viewed in a wide browser window (1200 pixels or more).   Download SED & P(z) plots to view larger versions.
In P(z) plots: Yellow lines mark the cluster redshift z = 0.228,  

Object #8741   x,y = (2852, 556)   RA, Dec = (06:03:12.240, 42:13:51.24) = (90.80100, 42.23090)   BPZ = 0.774 [0.198--4.886]   type = 6.20 (Sbc_B10 - Scd_B10)   stellarity = 0.97   chisq2 = 990.00   ODDS = 0.08   z_cluster = 0.228