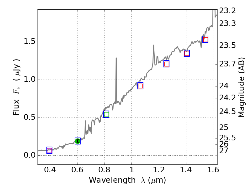
RXS0603+42-N IR detection object #8737

Color images and BPZ results
Catalog: 8737.cat
Black segments are analyzed here.   Roll mouse over color images to view segments.
Best viewed in a wide browser window (1200 pixels or more).   Download SED & P(z) plots to view larger versions.
In P(z) plots: Yellow lines mark the cluster redshift z = 0.228,  

Object #8737   x,y = (2845, 581)   RA, Dec = (06:03:12.288, 42:13:52.68) = (90.80120, 42.23130)   BPZ = 0.774 [0.198--4.886]   type = 6.40 (Sbc_B10 - Scd_B10)   stellarity = 0.09   chisq2 = 990.00   ODDS = 0.08   z_cluster = 0.228