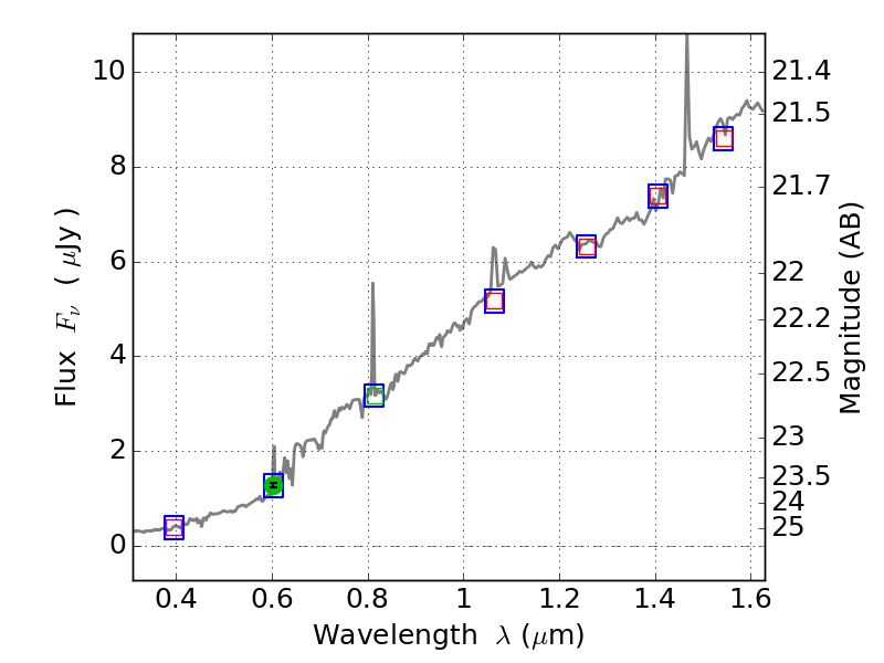
RXS0603+42-N IR detection object #8735

Color images and BPZ results
Catalog: 8735.cat
Black segments are analyzed here.   Roll mouse over color images to view segments.
Best viewed in a wide browser window (1200 pixels or more).   Download SED & P(z) plots to view larger versions.
In P(z) plots: Yellow lines mark the cluster redshift z = 0.228,  

Object #8735   x,y = (2866, 521)   RA, Dec = (06:03:12.168, 42:13:49.08) = (90.80070, 42.23030)   BPZ = 0.623 [0.146--3.093]   type = 6.40 (Sbc_B10 - Scd_B10)   stellarity = 0.99   chisq2 = 990.00   ODDS = 0.11   z_cluster = 0.228