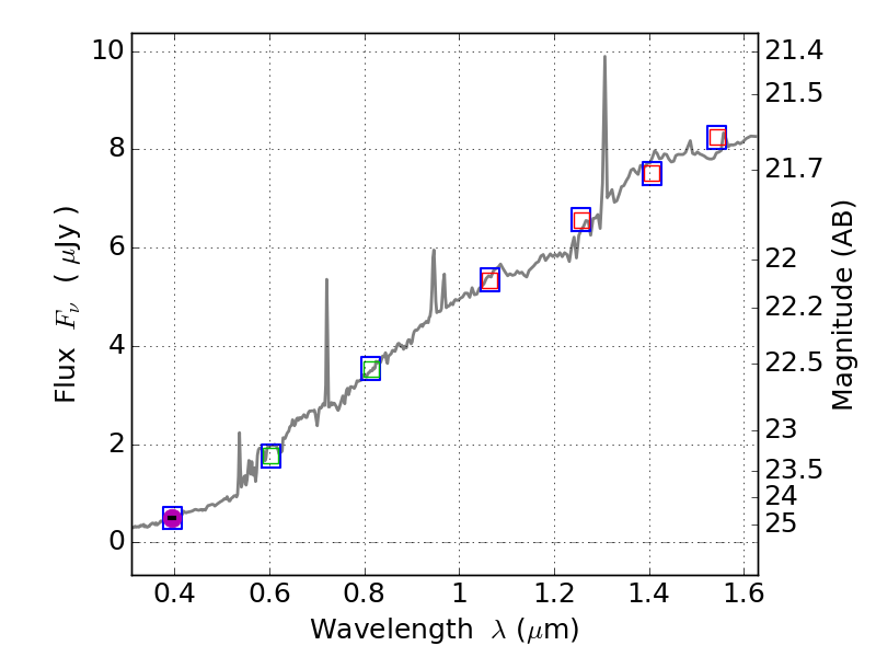
RXS0603+42-N IR detection object #8712

Color images and BPZ results
Catalog: 8712.cat
Black segments are analyzed here.   Roll mouse over color images to view segments.
Best viewed in a wide browser window (1200 pixels or more).   Download SED & P(z) plots to view larger versions.
In P(z) plots: Yellow lines mark the cluster redshift z = 0.228,  

Object #8712   x,y = (3713, 600)   RA, Dec = (06:03:07.608, 42:13:53.76) = (90.78170, 42.23160)   BPZ = 0.436 [0.051--0.865]   type = 6.50 (Scd_B10 - Sbc_B10)   stellarity = 0.82   chisq2 = 990.00   ODDS = 0.21   z_cluster = 0.228