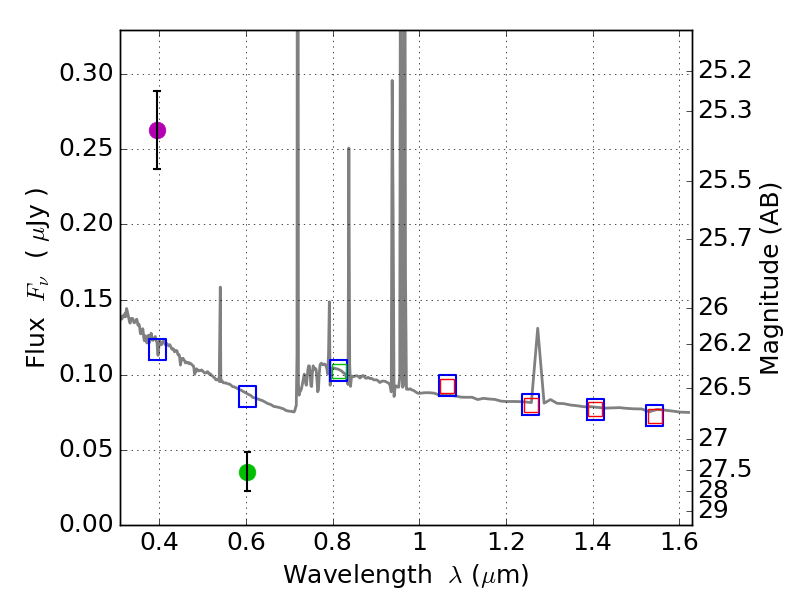
RXS0603+42-N IR detection object #8617

Color images and BPZ results
Catalog: 8617.cat
Black segments are analyzed here.   Roll mouse over color images to view segments.
Best viewed in a wide browser window (1200 pixels or more).   Download SED & P(z) plots to view larger versions.
In P(z) plots: Yellow lines mark the cluster redshift z = 0.228,  

Object #8617   x,y = (2966, 639)   RA, Dec = (06:03:11.640, 42:13:55.92) = (90.79850, 42.23220)   BPZ = 0.930 [0.810--1.990]   type = 11.00 (SB11_A_0_l)   stellarity = 0.58   chisq2 = 39.17   ODDS = 0.25   z_cluster = 0.228