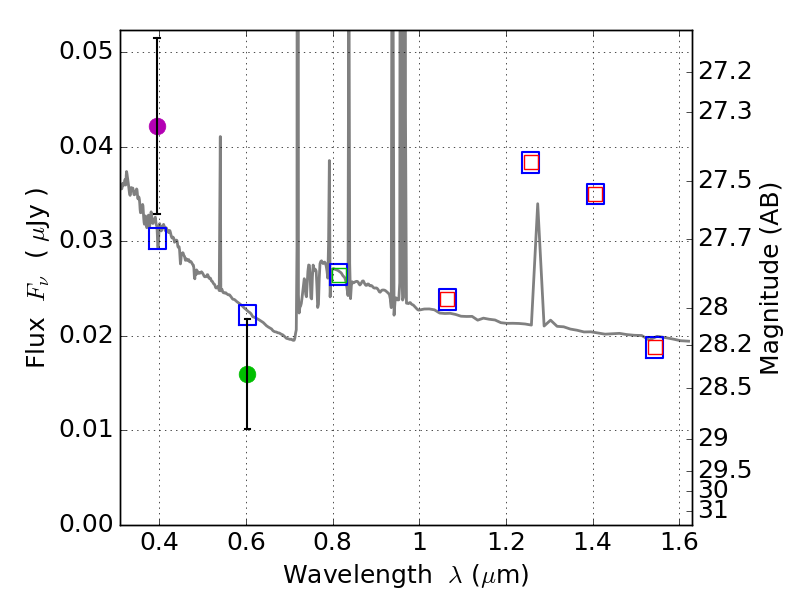
RXS0603+42-N IR detection object #8483

Color images and BPZ results
Catalog: 8483.cat
Black segments are analyzed here.   Roll mouse over color images to view segments.
Best viewed in a wide browser window (1200 pixels or more).   Download SED & P(z) plots to view larger versions.
In P(z) plots: Yellow lines mark the cluster redshift z = 0.228,  

Object #8483   x,y = (3474, 693)   RA, Dec = (06:03:08.880, 42:13:59.16) = (90.78700, 42.23310)   BPZ = 0.935 [0.503--2.460]   type = 11.00 (SB11_A_0_l)   stellarity = 0.37   chisq2 = 2.47   ODDS = 0.10   z_cluster = 0.228