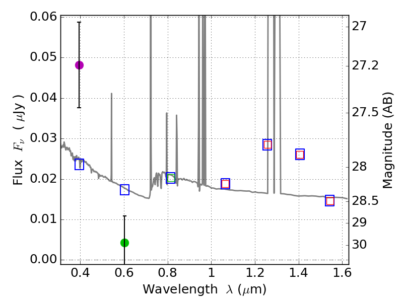
RXS0603+42-N IR detection object #8397

Color images and BPZ results
Catalog: 8397.cat
Black segments are analyzed here.   Roll mouse over color images to view segments.
Best viewed in a wide browser window (1200 pixels or more).   Download SED & P(z) plots to view larger versions.
In P(z) plots: Yellow lines mark the cluster redshift z = 0.228,  

Object #8397   x,y = (3027, 715)   RA, Dec = (06:03:11.304, 42:14:00.60) = (90.79710, 42.23350)   BPZ = 0.937 [0.488--2.723]   type = 11.00 (SB11_A_0_l)   stellarity = 0.36   chisq2 = 8.80   ODDS = 0.10   z_cluster = 0.228